피그먼트 옐로우 97
Pigment Yellow 97 is a bright, durable yellow pigment commonly used in coatings, inks, plastics, and paints. Known for its excellent lightfastness, weather resistance, and non-toxic properties, it offers vibrant color with high opacity. This pigment provides superior color strength and is often chosen for applications requiring consistent, high-quality yellow hues. It’s widely used in industrial sectors such as automotive, textiles, and packaging, offering a reliable and long-lasting color solution. Pigment Yellow 97 is valued for its versatility, environmental safety, and ability to maintain color integrity even under harsh conditions.
| 동의어 | CIPigment Yellow 97; CIPY97; PY97; PY97 |
| CI 번호 | 11767 |
| CAS 번호 | 12225-18-2 |
| EU 번호 | 235-427-3 |
| 분자식 | C26H27CINN4O8S |
| 화학 제품군 | 모노 아조 |
| 색깔 | ![]() |
| 색조 분포 |
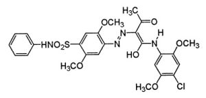
분자 구조 :

황색 안료 97 물리적, 화학적 및 견뢰도 특성
| 분자 무게 | 591.08 |
| PH 값 | 7.5 |
| 밀도 | 1.5 |
| 흡유량 (ml / 100g) % | 45 |
| 가벼운 견뢰도 | 7 |
| 내열성 | 200(°C) |
| 방수 | 5 |
| 내유성 | 4 |
| 내산성 | 5 |
| 알칼리 저항 | 5 |
신청
Pigment Yellow 97은 생생한 노란색으로 인해 다양한 산업 분야에 적용됩니다. 몇 가지 일반적인 응용 분야는 다음과 같습니다.
페인트 및 코팅제: Pigment Yellow 97은 장식 및 보호 목적으로 페인트 및 코팅제 제조에 사용됩니다. 노란색 색상을 제공하기 위해 수성 또는 용제 기반 페인트에 통합될 수 있습니다.
인쇄 잉크: 안료는 포장, 출판물 및 기타 인쇄물과 같은 용도로 사용되는 노란색 인쇄 잉크 생산에 사용됩니다.
플라스틱: Pigment Yellow 97은 PVC(폴리염화비닐), 폴리올레핀 및 기타 고분자 재료를 포함한 플라스틱 착색에 자주 사용됩니다. 플라스틱 제품에 내구성 있고 안정적인 노란색 색상을 부여합니다.
직물: 직물 산업에서 이 안료는 직물 염색에 사용되어 직물과 의류에 노란색을 부여합니다.
잉크젯 잉크: Pigment Yellow 97은 다양한 재질에 이미지와 텍스트를 인쇄하기 위한 잉크젯 잉크 제조에 사용할 수 있습니다.
아티스트 색상: 예술가 및 미술 용품 제조업체는 유성 페인트, 아크릴, 수채화 및 기타 예술 매체 생산에 Pigment Yellow 97을 사용할 수 있습니다.
기타 응용 분야: 안료는 화장품, 고무 제품 및 특수 코팅의 착색과 같이 안정적이고 생생한 노란색이 요구되는 다양한 기타 응용 분야에도 사용될 수 있습니다.
관련 정보
Pigment Yellow 97 is a hydroxyl-containing polycarboxylic acid that is used in the production of paints and plastics. It has an oxidation potential of +0.6 volts, which indicates that it is reactive. Pigment Yellow 97 has an absorption maximum at 526 nm and a molecular weight of 317.09 g/mol. The chemical structure of Pigment Yellow 97 consists of a molecule with a reactive carboxyl group and a reactive hydroxyl group, as well as an intramolecular hydrogen bond between the two groups. This pigment also forms coordination complexes with metals such as iron oxides to form particle pigments or mixtures with glycol esters to form solid particles or dispersions, respectively.
이름 및 식별자
IUPAC 이름: N-(4-클로로-2,5-디메톡시페닐)-2-[[2,5-디메톡시-4-(페닐설파모일)페닐]디아제닐]-3-옥소부탄아미드
InChI=1S/C26H27ClN4O8S/c1-15(32)25(26(33)28-18-12-20(36-2)17(27)11-21(18)37-3)30-29-19- 13-23(39-5)24(14-22(19)38-4)40(34,35)31-16-9-7-6-8-10-16/h6-14,25,31H, 1-5H3,(H,28,33)
InChIKey: WNWZKKBGFYKSGA-UHFFFAOYSA-N
표준 미소: CC(=O)C(C(=O)NC1=CC(=C(C=C1OC)Cl)OC)N=NC2=CC(=C(C=C2OC)S(=O)(= 오)NC3=CC=CC=C3)OC
계산된 속성
| 속성 이름 | 자산 가치 |
| 분자 무게 | 591.0 g/mol |
| XLogP3-AA | 4.6 |
| 수소채권 기증자 수 | 2 |
| 수소 결합 수용체 수 | 11 |
| 회전 가능한 채권 수 | 12 |
| 정확한 질량 | 590.1238127 Da |
| 단일동위원소 질량 | 590.1238127 Da |
| 위상학적 극 표면적 | 162 Ų |
| 중원자 수 | 40 |
| 공식 청구 | 0 |
| 복잡성 | 974 |
| 동위원소 원자 수 | 0 |
| 정의된 원자 입체중심 수 | 0 |
| 정의되지 않은 원자 입체중심 수 | 1 |
| 정의된 결합 입체중심 수 | 0 |
| 정의되지 않은 결합 입체중심 수 | 0 |
| 공유 결합 단위 수 | 1 |
| 화합물이 정규화됨 | 예 |











